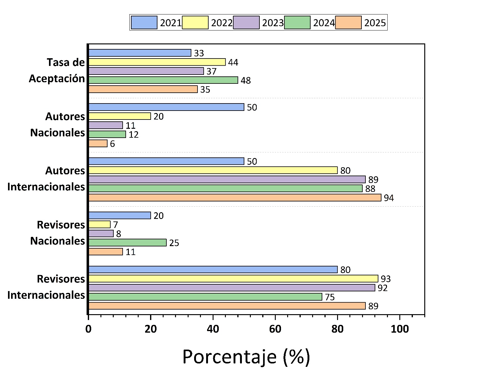
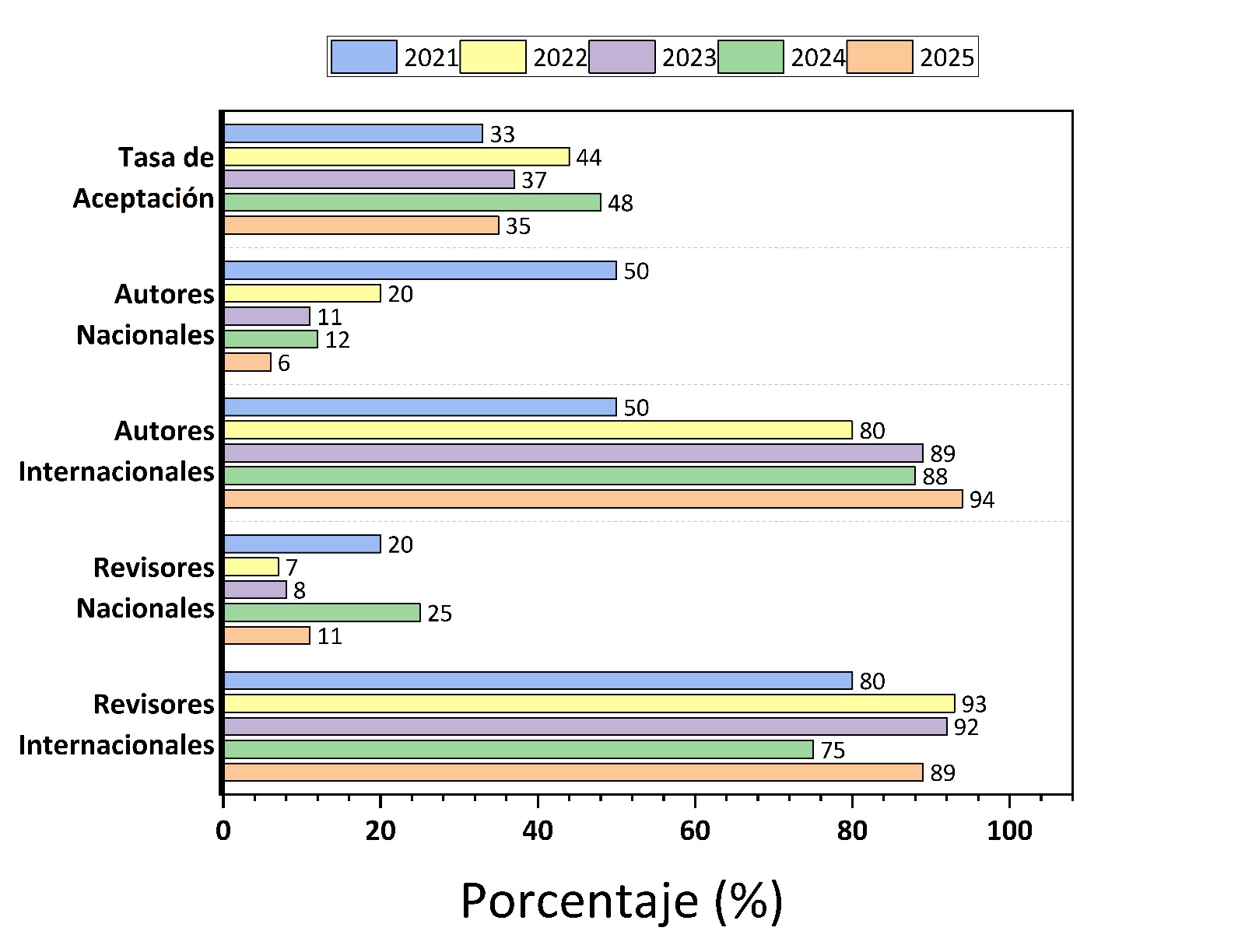
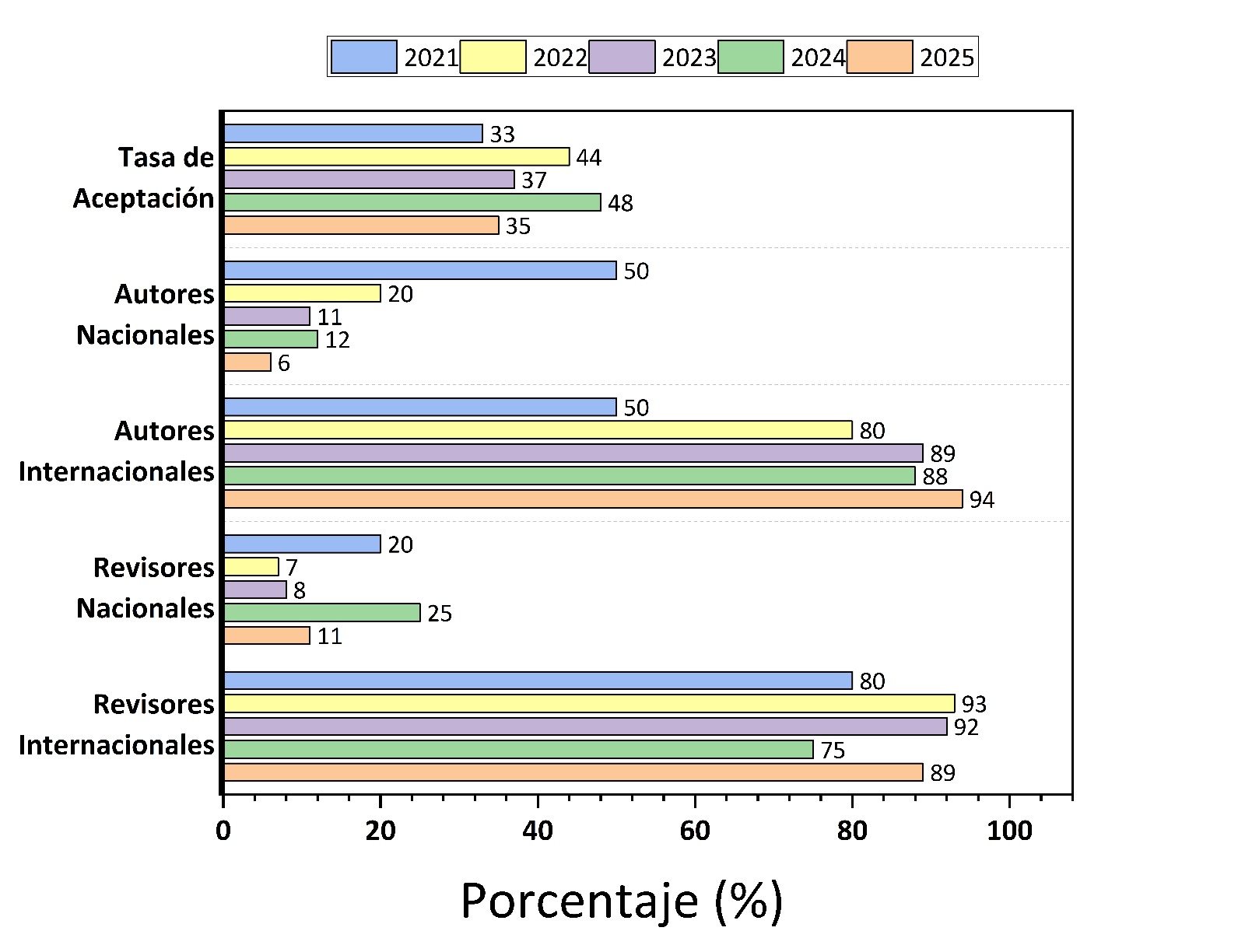
Editorial Management Statistics
Statistics Papeles Journal


REVISTA PAPELES
ISSN: 0123-0670 - ISSN en línea: 2346-0911
#SomosUANdeCorazón
Institución de Educación Superior, Personería Jurídica No. 4571
Vigilada por el Ministerio de Educación Nacional
Notificaciones judiciales: director.juridica@uan.edu.co
Universidad Antonio Nariño :: Derechos Reservados © 2008 - 2025
Desarrollado por: Dirección de Tecnologías de Información y Comunicaciones